Sukatan Pelajaran Bahasa Melayu Tingkatan 2

Bahasa melayu berperanan sebagai bahasa kebangsaan dan bahasa perpaduan rakyat di malaysia.
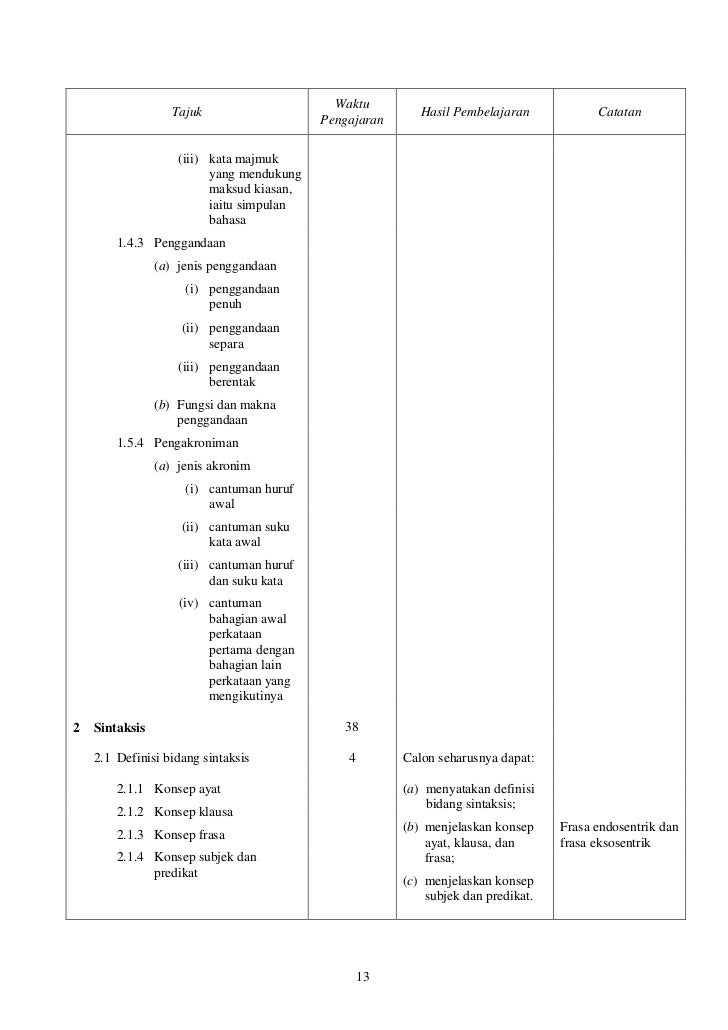
Sukatan pelajaran bahasa melayu tingkatan 2. Rpt mathematics dlp form 2 2020. Rpt bahasa melayu kssm tingkatan 2 2020. Bahasa inggeris tingkatan 1 5. Huraian sukatan pelajaran bahasa melayu sekolah menengah tingkatan empat 32 t4 hasil pembelajaran huraian hasil pembelajaran cadangan aktiviti 12 0 menghasilkan penulisan kreatif dan bukan kreatif 12 1 menghasilkan prosa dan puisi secara terancang tertib dan kemas dengan menggunakan bahasa yang tepat indah dan menarik.
Sukatan pelajaran 910 bahasa melayumatlamatmatlamat sukatan pelajaran ini adalah untuk a melahirkan pelajar yang dapat berbahasa melayu dengan cekap dan berupaya untuk meneruskan pengajian ke peringkat yang lebih tinggi b menghasilkan lulusan bahasa melayu yang berdaya saing dan dapat memenuhi keperluan pasaran kerja c mengukuhkan rasa sayang akan bahasa melayu dan berbangga. Huraian sukatan pelajaran bahasa melayu sekolah menengah tingkatan dua 1 pendahuluan selaras dengan dasar pendidikan kebangsaan yang termaktub dalam akta pendidikan 1996 bahasa melayu ialah mata pelajaran teras di semua sekolah rendah dan menengah. Objektif pendidikan bahasa melayu bagi setiap tingkatan 2. Sejarah tingkatan 1 5.
Rpt matematik tingkatan 2 2020. Kelima limanya berbeza dari dua segi iaitu. Sukatan pelajaran ini disediakan bagi memenuhi keperluan program bahasa di sekolah iaitu bahasa melayu lanjutan bahasa melayu termasuk bahasa melayu peringkat normal akademik bahasa melayu b dan bahasa melayu asas. Bahasa melayu tingkatan 1 5.
Huraian sukatan pelajaran bahasa melayu sekolah menengah tingkatan lima 1 pendahuluan selaras dengan dasar pendidikan kebangsaan yang termaktub dalam akta pendidikan 1996 bahasa melayu ialah mata pelajaran teras di semua sekolah rendah dan menengah. Rekod pdpc pengajaran dan pemudahcaraan pt3 kssm bahasa melayu tingkatan 2 sb pdpc pengajaran dan pemudahcaraan bahasa melayu tingkatan 2 sb. Perubahan yang dialami ini akan sangat menitikberatkan pemikiran kbat dan suasana pembelajaran abad ke 21. Sukatan pelajaran kesusateraan dalam bahasa melayu sekolah menengah pendidikan di singapura mempunyai dua tujuan iaitu membina sikap pelajar dan menyediakannya menjadi warganegara yang baik serta bersedia untuk alam.
Pendidikan jasmani dan kesihatan tingkatan 1 5. Penerangan dan panduan yang diberikan diharap akan dapat membantu guru menyediakan pengajaran dan pembelajaran. 12 2 memilih isi yang. Rpt matematik kssm tingkatan 2 2020.
Organisasi huraian sukatan pelajaran bahasa melayu sekolah menengah terdapat lima buah buku huraian sukatan pelajaran bahasa melayu sekolah menengah yang disediakan iaitu sebuah khusus bagi setiap tingkatan satu hingga tingkatan lima. Bahasa melayu berperanan sebagai bahasa kebangsaan dan bahasa perpaduan rakyat di malaysia.