Lengkung Pencong Ke Kiri

Kaki kanan ditendangkan ke depan entakan telapak kaki sejajar dengan bahu.
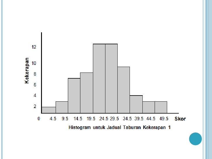
Lengkung pencong ke kiri. Jika skor median dan mod adalah lebih kurang daripada min taburan skor akan terpesong ke sebelah kiri pencongan positif. Garis yang kita sematkan ke lembar kerja di word termasuk sebagai object linking and embedding atau disingkat ole. Pelajaran sd kelas 1 semester 1. Pada pola lantai garis melengkung penari membentuk garis lingkaran pola lantai lengkung ular dan pola lantai angka delapan.
Lengkung dari p1 sampai m2 kanan dan kiri berupa garis lurus divergen ke posterior dan puncak lengkung merupakan garis datar di anterior dari gigi kaninus kanan ke kaninus kiri c c. Contohnya taburan pencong positif merujuk kepada susunan ketiga tiga ukuran kecenderungan memusat dari kiri ke kanan ialah. Kedua tangan berada di depan dada sebagai penyeimbang. Skor kekerapan mod median min lengkung taburan terpencong ke kiri pencong negatif lengkung simetri lengkung taburan pencong negatif nilai min median mod taburan skor boleh ditafsirkan bahawa banyak pelajar mendapat skor lebih tinggi daripada skor min.
Cara membuat garis di word dalam pembuatan sebuah laporan dokumen ataupun daftar isi garis merupakan salah satu komponen penting yang kerap digunakan. Adapun pembuatan garis lurus putus putus dan melengkung di word 2007 2010 2013 sebenarnya tidak jauh berbeda. Tapi kanan kiri kalo begitu signifikan seperti ke depan harusnya ada lengkungan mungkin dengan software jadi walaupun 1mm itu akan terlihat di software sesuai dengan area istilahnya prototype kali ya. Pada pola lantai ini penari berbaris membentuk garis menyudut ke kanan atau ke kiri.
Pola lantai diagonal. Bentuk parabola mempunyai kaki leng kung berbentuk garis lurus divergen ke po sterior dengan posisi gigi m2 merupakan. Fungsi jantung pengertian anatomi cara kerja bagian gambar jantung latin cor adalah rongga organ berotot yang memompa darah melalui pembuluh darah oleh kontraksi berirama yang berulang sarana jantung istilah yang terkait dengan jantung dari kata yunani cardia untuk jantung. Untuk pandangan ke depan terasa horizon nya ya begitu dekat.
Pola lantai ini banyak digunakan pada tari rakyat dan tari tradisi memberi kesan lemah dan lembut. Kesalahan yang sering dilakukan dalam tendangan lurus adalah sikap kuda kuda kiri kurang baik tidak ada entakan telapak kaki entakan tidak sejajar dengan bahu dan badan tidak seimbang.