Definisi Kepercayaan Kepada Tuhan





Kepercayaan Kepada Tuhan Ppt Download

Kepercayaan Kepada Tuhan Ppt Download

Nilai 1 1 Kepercayaan Kepada Tuhan

Nilai 1 1 Kepercayaan Kepada Tuhan

Kepercayaan Kepada Tuhan

Kepercayaan Kepada Tuhan

Nilai Kepercayaan Kepada Tuhan Lessons Tes Teach

Nilai Kepercayaan Kepada Tuhan Lessons Tes Teach

Nilai Amp Kata Kunci Morals Nilai Tanda

Nilai Amp Kata Kunci Morals Nilai Tanda

Kepercayaan Kepada Tuhan Ppt Download

Kepercayaan Kepada Tuhan Ppt Download

Kepercayaan Kepada Tuhan Ppt Download

Kita sedia maklum bahwa perlembagaan persekutuan telah memperuntukkan agama islam sebagai agama rasmi negara kita tetapi dalam masa yang sama agama dan kepercayaan kepercayaan lain boleh diamalkan dengan aman dan tenteram.

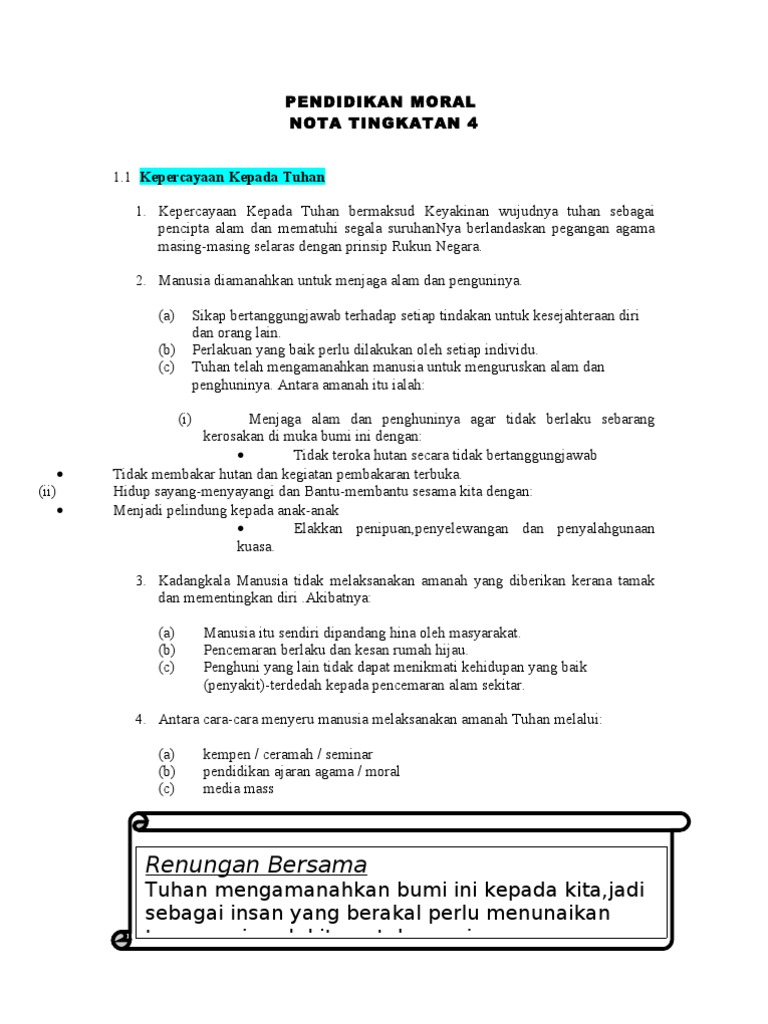
Definisi kepercayaan kepada tuhan. Tidak ada kesepakatan bersama mengenai konsep ketuhanan sehingga ada berbagai konsep ketuhanan meliputi teisme deisme panteisme dan lain lain dalam pandangan teisme tuhan merupakan pencipta sekaligus pengatur segala kejadian di alam semesta menurut deisme tuhan merupakan pencipta alam semesta namun tidak ikut campur. Kepercayaan kepada tuhan definisi. Bangsa dan negara ini telah diwujudkan atas kepercayaan yang kukuh kepada tuhan. Keyakinan wujudnya tuhan sebagai pencipta alam dan mematuhi segala suruhan nya berlandaskan pegangan agama masing masing selaras dengan prinsip rukun negara.

Mereka sedar akan kepelbagaian ini dan itu mungkin telah mendorong mereka untuk meletakkan kepercayaan kepada tuhan menjadi asas kepada keharmonian rakyat di negara kita ini. Tidak ada kesepakatan bersama mengenai konsep ketuhanan sehingga ada berbagai konsep ketuhanan meliputi teisme deisme panteisme dan lain lain dalam pandangan teisme tuhan merupakan pencipta sekaligus pengatur segala kejadian di alam semesta menurut deisme tuhan merupakan pencipta alam semesta tetapi tidak ikut campur. Kata kunci keyakinan wujudnya tuhan tuhan sebagai pencipta alam mematuhi segala urusan suruhan tuhan berlandaskan pegangan agama masing masing. Lagi pula kepercayaan ini sudah ada dengan sendirinya tertanam di dalam hati sanubari setiap manusia sejak lahir.

Keyakinan wujudnya tuhan sebagai pencipta alam dan mematuhi segala suruhan nya berlandaskan pegangan agama masing masing selaras dengan prinsip rukun negara unit 1. Nilai kepercayaan kepada tuhan bidang 1 nilai. Keyakinan wujudnya tuhan sebagai pencipta alam dan mematuhi segala suruhannya berlandaskan pegangan agama masing masing selaras dengan prinsip rukun negara. Kepercayaan kepada tuhan definisi.

Keyakinan kepada tuhan yme merupakan pondasi atau dasar dan segalanya sedangkan ketakwaan merupakan buah dari keyakinan artinya apabila manusia sudah yakin adanya tuhan yang telah menciptakannya dan menciptakan alam beserta isinya tanpa keraguan maka ia akan tuduk dan patuh kepada nya kercayaan bangsa indonesia terhadap tuhan ini telah tertanam begitu lama sehingga bangsa kita terkenal. Tuhan dipahami sebagai roh mahakuasa dan asas dari suatu kepercayaan. Walaupun kadang kadang kepercayaan ini seolah olah tertutupi dan tidak. Alam harmoni manusia sejahtera.

Kepercayaan kepada tuhan dan mentawhidkan tuhan sekadar percaya akan wujudnya tuhan belumlah cukup untuk menjadikan seseorang islam karena kepercayaan akan wujudnya tuhan bukan merupakan suatu prestasi. Kepercayaan kepada tuhan definisi. Keyakinan wujud tuhan tuhan pencipta alam mematuhi segala suruhan agama.

Kepercayaan Kepada Tuhan

Kepercayaan Kepada Tuhan

Kepercayaan Kepada Tuhan

Kepercayaan Kepada Tuhan

36 Nilai Murni

36 Nilai Murni

Ppt Pendidikan Moral Powerpoint Presentation Free Download Id 4717784

Ppt Pendidikan Moral Powerpoint Presentation Free Download Id 4717784

Kepercayaan Kepada Tuhan

Kepercayaan Kepada Tuhan

Kepercayaan Kepada Tuhan

Kepercayaan Kepada Tuhan

Konsep Tuhan Dan Ketuhanan Dan Aliran Ketuhanan

Konsep Tuhan Dan Ketuhanan Dan Aliran Ketuhanan

Kepercayaan Kepada Tuhan

Kepercayaan Kepada Tuhan

Pendidikan Moral Nilai Kepercayaan Kepada Tuhan Unit 1 Tahun 3 A

Pendidikan Moral Nilai Kepercayaan Kepada Tuhan Unit 1 Tahun 3 A

Apa Maksud Kepercayaan Kepada Tuhan

Apa Maksud Kepercayaan Kepada Tuhan

Kepercayaan Kepada Tuhan

Kepercayaan Kepada Tuhan

Kepelbagaian Agama

Kepelbagaian Agama

Kepercayaan Kepada Tuhan

Kepercayaan Kepada Tuhan

Https Nanopdf Com Download Bab Ii Tinjauan Pustaka A Kepercayaan 1 Definisi Pdf

Https Nanopdf Com Download Bab Ii Tinjauan Pustaka A Kepercayaan 1 Definisi Pdf

Source : pinterest.com